Provides methods to evaluate predictive performance of models that estimate risks under hypothetical intervention scenarios (interventional/causal/counterfactual predictions) with observational data. Inverse probability of treatment weighting (IPTW) is used to construct a pseudopopulation in which all individuals receive a specified intervention, enabling assessment of agreement between predicted risks and observed outcomes under that intervention. Supports binary and time-to-event outcomes under binary interventions, with performance measures including AUC, Brier score, observed-expected ratio, and calibration plots. Methods implemented in this pacakge are based on work by Keogh and Van Geloven (2024).
Installation
The development version of ipeval can be installed from GitHub with:
# install.packages("devtools")
devtools::install_github("jvelumc/ipeval")Usage
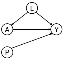
To demonstrate package usage, we require data and prediction models. We simulate data for binary outcome and point treatment , with the relation between and confounded by variable . Variable is a prognostic variable for only the outcome. The treatment reduces the risk on a bad outcome () in this example.

simulate_data <- function(n, seed) {
data <- data.frame(id = 1:n)
data$L <- rnorm(n)
data$A <- rbinom(n, 1, plogis(2*data$L))
data$P <- rnorm(n)
data$Y <- rbinom(n, 1, plogis(0.5 + data$L + 1.25 * data$P - 0.9*data$A))
data
}
df_dev <- simulate_data(n = 2000, seed = 1)We will create a couple of prediction models using the development data.
# naive model, not accounting for confounding variable L
naive_model <- glm(Y ~ A + P, family = "binomial", data = df_dev)
# causal model, accounting for L by IP-weighting
trt_model <- glm(A ~ L, family = "binomial", data = df_dev)
propensity_score <- predict(trt_model, type = "response")
df_dev$iptw <- 1 / ifelse(df_dev$A == 1, propensity_score, 1 - propensity_score)
causal_model <- glm(Y ~ A + P, family = "binomial", data = df_dev, weights = iptw)
#> Warning in eval(family$initialize): non-integer #successes in a binomial glm!
# a model that randomly predicts something, not very good probably
random_predictions <- runif(5000, 0, 1)
print(coefficients(naive_model))
#> (Intercept) A P
#> -0.1088558 0.3407801 1.1878727
print(coefficients(causal_model))
#> (Intercept) A P
#> 0.3862409 -0.6863653 1.1949409Both models can generate predictions under treatment (setting to 1) and predictions under no treatment ( to 0). If using the predictions for decision making, according to the naive model, no patient should be treated, as patients that get treated have a higher risk for the outcome. The causal model correctly infers that treatment benefits patients.
We are now interested in how the models perform in an external validation dataset. This dataset can have a different causal structure from the original development dataset. In this example, the data is simulated in the same way.
df_val <- simulate_data(n = 5000, seed = 2)In validation studies, it is common to leave the data as it is, and compute the performance metrics on this observed dataset, where some patients were treated and others were not, and treatment assignment is dependent on confounders. This package has a convenience function that can do this, but it is not recommended to use it. For illustration purposes, we use it here nonetheless.
observed_score(
object = list(
"random" = random_predictions,
"naive model" = naive_model,
"causal model" = causal_model
),
data = df_val,
outcome = Y,
metrics = c("auc", "brier", "oeratio")
)
#>
#> model auc brier oeratio
#> random 0.505 0.331 1.010
#> naive model 0.764 0.198 0.998
#> causal model 0.741 0.207 1.001The naive model appears to outperform the causal model. These performance measures represent the performance of the models under the treatment assignment strategy present in the validation data. If these models were to be used for decision-making, the treatment assignment mechanism would change, and these performance estimates would no longer be relevant.
For example, the models may be used to inform whether patients should receive treatment or not. For patients and clinicians, it is then important to know what their treated risk would be and their untreated risk. It follows that these treated risks should be accurate compared to the outcomes patients would get if they were to be treated, and that the untreated risks should be accurate compared to the outcomes they would get if left untreated. Thus, the question that we would like to have answered is the following:
How well does our prediction model perform if we were to treat nobody? And if we were to treat everybody?
The ipeval package aims to provide tools to answer questions like these. The main function ip_score() can be used for this. This function estimates several performance measures in a setting where all patients where counterfactually given the treatment of interest, printing by default the assumptions required for valid inference. The first argument is the object to validate. This can be a glm model, a coxph model for survival data, or a numeric vector corresponding to predicted risks. Multiple models can be specified for comparison. Other arguments supplied are the validation data, the observed outcomes, a treatment formula for which the left hand side denotes the treatment variable and the right hand side the confounders required to adjust for treatment assignment, and the hypothetical treatment option for which you want to know how well the model performs if everyone in the population was (counterfactually) assigned to that treatment.
If nobody would have been treated:
ip_score(
object = list(
"random" = random_predictions,
"naive model" = naive_model,
"causal model" = causal_model
),
data = df_val,
outcome = Y,
treatment_formula = A ~ L,
treatment_of_interest = 0
)
#> Estimation of the performance of the prediction model in a
#> counterfactual (CF) dataset where everyone's treatment A was set to 0.
#> The following assumptions must be satisfied for correct inference:
#> - Conditional exchangeability requires that the inverse probability of
#> treatment weights are sufficient to adjust for confounding between
#> treatment and outcome.
#> - Conditional positivity (assess $ipt$weights for outliers)
#> - Consistency (including no interference)
#> - Correctly specified propensity model. Estimated treatment model is
#> logit(A) = -0.07 + 2.05*L. See also $ipt$model
#>
#> model auc brier oeratio
#> null model 0.500 0.245 1.00
#> random 0.496 0.335 1.14
#> naive model 0.766 0.204 1.20
#> causal model 0.766 0.196 1.00
And similarly, we can assess performance if everybody would have been treated:
ip_score(
object = list(
"random" = random_predictions,
"naive model" = naive_model,
"causal model" = causal_model
),
data = df_val,
outcome = Y,
treatment_formula = A ~ L,
treatment_of_interest = 1,
quiet = TRUE
)
#>
#> model auc brier oeratio
#> null model 0.500 0.241 1.000
#> random 0.533 0.314 0.812
#> naive model 0.739 0.218 0.751
#> causal model 0.739 0.202 0.930
The causal model has better calibration and Brier score for these settings. Note that the AUC of the naive model and the causal model are equal. AUC is driven entirely by how individuals’ model predictions are ranked, not by the magnitude of the predictions. In this simple setting, P is the only variable driving prognostic differences between individuals (in a pseudopopulation where we counterfactually set everyone’s treatment status to ). While the models have different coefficients for P, individuals are ranked in exactly the same way.
ip_score() also supports stabilized weights and bootstrapping for confidence intervals around performance measures. Right censored survival data and cox models are also supported.
A more detailed motivation is given in this vignette. How to use this package for survival data is given in time-to-event vignette